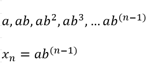
Geometric Sequence
Also known as a Geometric Progression
A sequence of numbers with a constant ratio between successive items
![]() |
1) Write down an expression for the nth term of this geometric sequence ?
1, 2, 4, 8, 16
Look at the difference between two consecutive numbers.
Every term is found by multiplying or dividing the previous term by the same amount, this is called the common ratio.
To find the common ratio, start by calculating the difference between each pair of numbers, moving from one term to the next.
Each term in the sequence is doubling (multiplying by 2) to create the next term.
This is a multiplicative relationship. The term-to-term rule is x2
The nth term expression is 2n
2) Write down an expression for the nth term of this geometric sequence ?
2, 6, 18, 54
3) Write down an expression for the nth term of this geometric sequence ?
80, 40, 20, 10
4) Write down an expression for the nth term of this geometric sequence ?
5, 20, 80, 320
5) Write down an expression for the nth term of this geometric sequence ?
1000, 100, 10, 1
© 2026 Better Solutions Limited. All Rights Reserved. © 2026 Better Solutions Limited TopPrevNext
