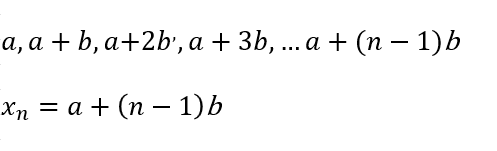
Arithmetic Sequence
Also known as a Arithmetic Progression
![]() |
1) Write down an expression for the nth term of this arithmetic sequence ?
7, 12, 17, 22
![]() |
Look at the difference between the consecutive numbers.
The difference is +5, so the nth term is related to the 5 times table.
Compare the sequence with the numbers in the 5 times table.
How do we get from the value in the 5 times table to the number in the sequence.
This gives a constant difference of +2.
The nth term expression is 5n + 2
2) Write down an expression for the nth term of this arithmetic sequence ?
2, 5, 8, 11
![]() |
n = 3n -1
3) Write down an expression for the nth term of this arithmetic sequence ?
28, 23, 18, 13
![]() |
n = -5n + 33
4) Write down an expression for the nth term of this arithmetic sequence ?
5, 9, 13, 17
5) Write down an expression for the nth term of this arithmetic sequence ?
2, 9, 16, 23
6) Write down an expression for the nth term of this arithmetic sequence ?
3, 9, 15, 21
7) Write down an expression for the nth term of this arithmetic sequence ?
3, 7, 11, 15
8) Write down an expression for the nth term of this arithmetic sequence ?
4, 7, 10, 13
© 2026 Better Solutions Limited. All Rights Reserved. © 2026 Better Solutions Limited TopPrevNext



