Fractions
1) What is a Fraction ?
Tells us how many parts of a whole we have.
A fraction represents part of a whole.
2) Is a fraction a number ?
Every fraction is a number.
3) Can you halve an odd number ?
subtract one, halve it and then add a half.
4) What is the Numerator ?
This is the top part of a fraction. How much you have.
The numerator has to be an integer.
5) What is the Denominator ?
This is the bottom part of a fraction. This is the total.
The denominator has to be an integer.
6) What is a Decimal Fraction ?
A fraction where the denominator is a power of 10.
For example denominator is 10, 100 or 1000.
Writing a fraction with a decimal point instead of a denominator makes it easier to complete operations.
These types of decimal fractions are just called decimals.
7) What fraction is 300m of 2km ?
2km = 2000m
300 / 2000 = 3/20
8) Write a fraction that is equal to 1 ?
2/2, 4/4
9) What fraction of an hour is 15 minutes ?
One quarter
10) What proportion of 3 hours is 10 minutes ?
10 / (3 x 60) = 10/180 = 1/18
11) What is the relationship between "divide by" and a "fraction" ?
![]() |
12) How do we Convert a Fraction to a Decimal ?
By using long division.
![]() |
13) Change the following Fractions to Decimals ?
1/2 = 0.5
1/3 = 0.333
1/4 = 0.25
1/5 = 0.2
3/4 = 0.75
7/10 = 0.7
3/2 = 1.5
24/10 = 2.4
33/100 = 0.33
14) How do we Convert a Fraction to a Percentage ?
Convert the fraction to a decimal.
Then convert the decimal to a percentage.
15) Change these Fractions to Percentages ?
1/2 = 0.5 = 50%
24/27 = 8/9 = 0.888 = 88.8%
16) What is Two Thirds of 15 ?
What is Four Fifths of 25 ?
What is Three Quarters of 100 ?
What is 5/8 of 56 ?
17) How do you reduce a Fraction to its Lowest Term ?
Also known as Simplest Form.
You divide the numerator and denominator by their highest common factor.
18) What is the fraction 16/48 in its lowest term ?
16 / 48 = 8 / 24 = 4 / 12 = 1 / 3
19) There are 100 sweets, you give 1 in every 2, to your sister, how many do you have left ?
1 in every 2 is equivalent to a half. You have 50 left.
20) What is a Proper Fraction ?
A fraction where the numerator is smaller than the denominator
Less than one and greater than zero.
21) What is an Improper Fraction ?
A top heavy fraction where the numerator is greater than or equal to the denominator.
Equal to one or greater than one.
22) What is a Simple Fraction ?
A fraction where both the numerator and denominator are whole numbers (or Integers)
Also known as a Common Fraction or Vulgar Fraction.
23) How do we Compare Fractions ?
You must convert them so they have a common denominator.
24) What is the Least Common Denominator ?
This is a smallest multiple of both the denominators.
This is the Least Common Multiple of the Denominators.
25) What does Renaming a Fraction mean ?
To rename a fraction, you multiple both its numerator and denominator by the same number.
This creates an Equivalent Fraction.
26) What is an Equivalent Fraction ?
Equivalent means the same value or amount.
1/4 is equivalent to 2/8, 3/12 and 5/20
27) How can we check if two fractions are equivalent ?
We can cross multiply.
Two fractions are equivalent when you cross multiply and you get the same answer.
28) What does Cross Multiply mean ?
Multiply the top of the first fraction by the bottom of the second fraction.
Multiply the bottom of the first fraction by the top of the second fraction.
![]() |
29) Are these fractions equivalent ?
![]() |
30) How do we work out equivalent fractions ?
Multiplying a fraction by 1 does not change the value of the fraction.
![]() |
31) Can you find 4 different equivalent fractions for 3/8 ?
32) How to find a fraction of something ?
step 1) multiply the something by the TOP of the fraction (numerator)
step 2) then divide the answer by the BOTTOM of the fraction (denominator)
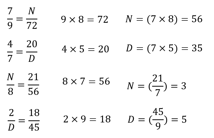
33) What is the Numerator if these fractions are equivalent ?
![]() |
34) Find the missing numerator and denominator of these equivalent fractions ?
![]() |
35) How do we Add Fractions ?
step 1) You must convert them so they have a common denominator.
36) How do we Add Mixed Number Fractions ?
step 1) converts all the fractions to a common denominator (ignoring whole numbers)
step 2) add up all the whole numbers
step 3) add up all the fractions
37) How do we Subtract Fractions ?
step 2) You must convert them so they have a common denominator.
38) How do we Multiply Fractions ?
step 1) Multiply the top numbers
step 2) Multiply the bottom numbers
step 3) Reduce the fraction to its lowest term
![]() |
39) What is 1/4 multiplied by 2/3 ?
2/12 = 1/6
40) What is (1 1/2) x (1/2) ?
3/2 x 1/2 = 3/4
41) What is half of a half ?
Or 1/2 times 1/2
42) How do we multiply a fraction with a whole number ?
First make the whole number a fraction, by putting it over 1.
and then multiply the two fractions together.
43) How do we Divide Fractions ?
Find the reciprocal of the second fraction by flipping it upside down
Then multiply the two fractions together.
![]() |
44) What is a Non-Unit Fraction ?
This is when the numerator is greater than 1.
45) Do fractions that are equivalent to one half have an even numerator ?
46) What is a Quotient ?
It is the number you get when you divide one number by another.
47) The hedge in my garden has increased by a quarter.
What fraction of the hedge do I need to cut away to bring it back to its original height ?
48) What is the correct representation of the decimal number 3.79 as a fraction ?
3.79 = 379/100
3 = 300/100
0.70 = 70/100
0.09 = 9/100
Proper Fractions -
Improper Fractions -
Rational Fractions -
![]() |
Numerator - This is the number on the top
Denominator - This is the number on the bottom. The denominator of a fraction can never be zero. If it is then the fraction is undefined.
The denominator of a fraction can never be zero.
Converting Fraction to Decimal
divide the number above the line (numerator) by the number below the line (denominator)
Converting Fraction to Percentage
divide the number above the line (numerator) by the number below the line (denominator)
and then multiple by 100
Multiplying Fractions
Multiplying fractions is easier than adding them up.
Just multiply straight across the top and straight across the bottom.
![]() |
Dividing Fractions
This is identical to multiplying except you need to flip the second fraction first.
![]() |
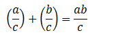
Adding Fractions
To add fractions you need to find a common denominator.
![]() |
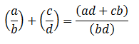
but what if you have:
![]() |
The most obvious common denominator is (b * d)
![]() |
Exactly which common denominator you use will depend on the fractions you want to add together.
For example consider the fractions:
![]() |
You could use the denominator (4 * 10) = 40
![]() |
Alternatively you could use a smaller common denominator
For example you could use 20. Since both 4 and 10 go into 20.
How many times does 4 go into 20. 5 times
How many times does 10 go into 20. 2 times
![]() |
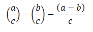
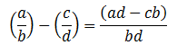
Subtracting Fractions
To subtract fractions you need to find a common denominator
![]() |
but what if you have:
![]() |
The most obvious common denominator is (B * d)
![]() |
Simplifying Fractions
At the end of a calculation you are often left with a complicated algebraic formula.
Not always but sometimes it is possible to cancel some of the fractions to give you a simpler answer.
For example, lets consider the fraction 50/100
This could be simplified
It could be written as 25/50 or 5/10 or 1/2
You can only simplify a fraction of the numerator and the denominator share a common multiple
![]() |
Excel Fraction Number Format
© 2026 Better Solutions Limited. All Rights Reserved. © 2026 Better Solutions Limited TopPrevNext





















