Trigonometry Functions


 ExcelExcel - Inverses
SineSINASIN
CosineCOSACOS
   
TangentTANATAN
CoTangentCOT (1 / TAN)ACOT
   
SecantSEC (1 / COS) 
CosecantCSC (1 / SIN) 

Hyperbolic Functions

 ExcelExcel - Inverses
Hyperbolic SineSINHASINH
Hyperbolic CosineCOSHACOSH
   
Hyperbolic TangentTANHATANH
Hyperbolic CoTangentCOTH (1 / TANH)ACOTH
   
Hyperbolic SecantSECH (1 / COSH) 
Hyperbolic CosecantCSCH (1 / SINH) 

Sin Function

The SIN function returns the sine of an angle.



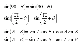
Using this equation can sometimes lead to ambiguous results.
It is always important to take into account both the positive and the negative solutions to the equation y=sin(x).


Cos Function

The COS function returns the cosine of an angle.




Tan Function

The TAN function returns the tangent of an angle.



SOH CAH TOA

Sine is Opposite over Hypotenuse
Cosine is Adjacent over Hypotenuse
Tangent is Opposite over Adjacent



Example 1

Lets assume a = 10 and b = 25


What is the size of the angle x ?

Remember that all the functions return radians so this is converted to degrees in cell "B3".


What is the size of the angle y ?

Remember that all the functions return radians so this is converted to degrees in cell "B3".


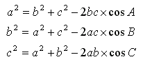
Example 2

Lets assume x = 33, y = 57 and c = 18


What is the length of side a ?


What is the length of side b ?



© 2026 Better Solutions Limited. All Rights Reserved. © 2026 Better Solutions Limited TopPrevNext